Dimenhydrinate

CAS No. 523-87-5

Dimenhydrinate( NSC 117855 | NSC-117855 | NSC117855 | Dimenhydrinate | Dramalen | Dramamin )

Catalog No. M14850 CAS No. 523-87-5

Dimenhydrinate is an anti-emetic and anti-histamine commonly available over-the-counter as a motion sickness remedy.

Purity : >98% (HPLC)

COA Datasheet HNMR HPLC MSDS Handing Instructions
Size Price / USD Stock Quantity
50MG 32 In Stock
100MG 41 In Stock
200MG 49 In Stock
500MG Get Quote In Stock
1G Get Quote In Stock

Biological Information

  • Product Name
    Dimenhydrinate
  • Note
    Research use only, not for human use.
  • Brief Description
    Dimenhydrinate is an anti-emetic and anti-histamine commonly available over-the-counter as a motion sickness remedy.
  • Description
    Dimenhydrinate is an anti-emetic and anti-histamine commonly available over-the-counter as a motion sickness remedy.
  • In Vitro
    ——
  • In Vivo
    Animal Model:Male ICR mice (22-28 g)Dosage:3, 10, and 30 mg/kg Administration:IP; single dose Result:Significantly increased CPP scores (+105.4 s) compared to those of the vehicle-treated control group.
  • Synonyms
    NSC 117855 | NSC-117855 | NSC117855 | Dimenhydrinate | Dramalen | Dramamin
  • Pathway
    GPCR/G Protein
  • Target
    Histamine Receptor
  • Recptor
    H1 receptor
  • Research Area
    Neurological Disease
  • Indication
    ——

Chemical Information

  • CAS Number
    523-87-5
  • Formula Weight
    469.96
  • Molecular Formula
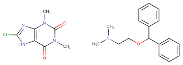
    C24H28ClN5O3
  • Purity
    >98% (HPLC)
  • Solubility
    DMSO: 10 mM
  • SMILES
    O=C(N1C)N(C)C2=C(NC(Cl)=N2)C1=O.CN(C)CCOC(C3=CC=CC=C3)C4=CC=CC=C4
  • Chemical Name
    8-chloro-1,3-dimethyl-1H-purine-2,6(3H,7H)-dione compound with 2-(benzhydryloxy)-N,N-dimethylethanamine (1:1)

Shipping & Storage Information

  • Storage
    (-20℃)
  • Shipping
    With Ice Pack
  • Stability
    ≥ 2 years

Reference

1.Chen X, et al. Nucleic Acids Res. 2002, 30(1):412-5.
molnova catalog
related products
  • Bicyclol

    Bicyclol(SY 801) is an anti-hepatitis drug. Oral administration of bicyclol normalizes the elevated serum transaminases (ALT, AST) by 50% in chronic viral hepatitis B and C, and also has a certain level of inhibiting HBV and HCV replication.

  • Irdabisant

    Irdabisant (CEP-26401) (CEP-26401) is a selective, orally active and blood-brain barrier (BBB) penetrant antagonist/inverse agonist of histamine H3 receptor (H3R) (rat H3R Ki= 7.2 nM, human H3R Ki= 2.0 nM).

  • Bavisant

    Bavisant is a selective and orally active Human H3 receptor antagonist. Bavisant can be used in research on mechanisms of action, involving wakefulness and cognition and the treatment for ADHD.